Salta al contenido principal
Panel lateral
Página Principal
Cursos
Mis Cursos
Todos los cursos
Asistencia
Espacio Docente
Portal de Servicios
Materiales
Libros
Videos
Accesos
Guarani
FCEFyN
UNC
Más
En este momento está usando el acceso para invitados
Acceder
Página Principal
Cursos
Colapsar
Expandir
Mis Cursos
Todos los cursos
Asistencia
Colapsar
Expandir
Espacio Docente
Portal de Servicios
Materiales
Colapsar
Expandir
Libros
Videos
Accesos
Colapsar
Expandir
Guarani
FCEFyN
UNC
Expandir todo
Colapsar todo
Abrir índice del curso
22.1c: 4009
UNIDAD IV
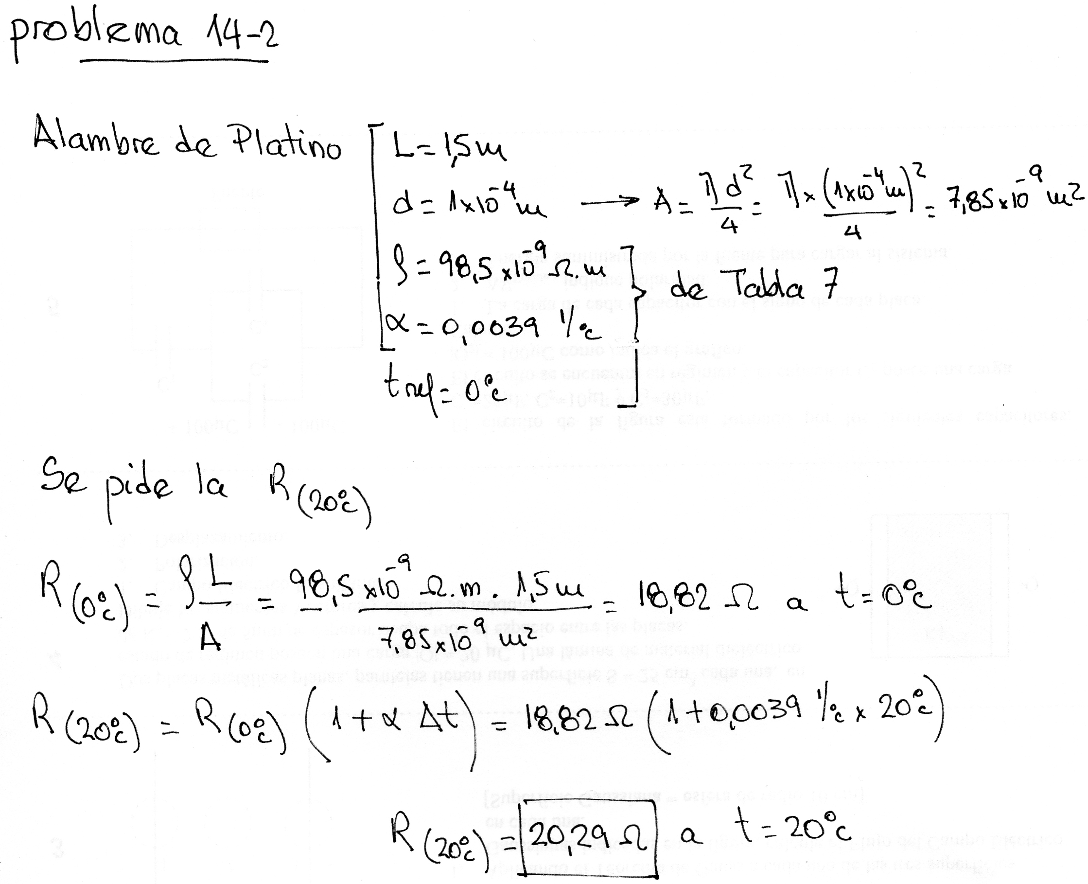
problema 14-2
problema 14-2
Requisitos de finalización
Haga clic en
PROBLEMA 14-2.jpg
para ver el archivo.