Salta al contenido principal
FCEFyN Virtual
  • Página Principal
  • Cursos
    Mis Cursos Todos los cursos
  • Asistencia
    Espacio Docente Portal de Servicios
  • Materiales
    Libros Videos
  • Accesos
    Guarani FCEFyN UNC
  • Más
En este momento está usando el acceso para invitados
Acceder
FCEFyN Virtual
Página Principal Cursos Colapsar Expandir
Mis Cursos Todos los cursos
Asistencia Colapsar Expandir
Espacio Docente Portal de Servicios
Materiales Colapsar Expandir
Libros Videos
Accesos Colapsar Expandir
Guarani FCEFyN UNC
Expandir todo Colapsar todo
  1. 20.1c: 7609
  2. Tema 4
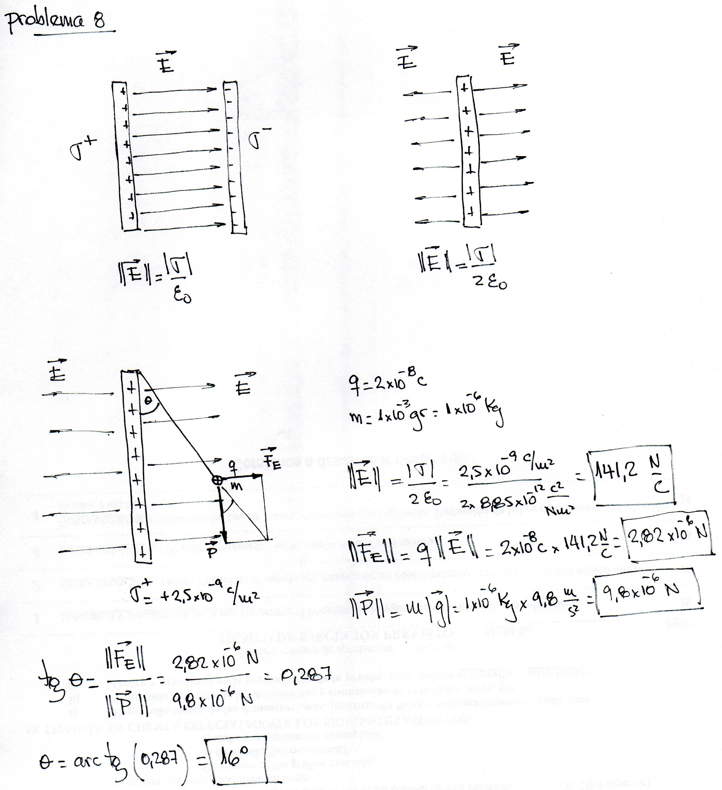
  3. Resolución Ejercicio 8 Guía 4 (Campo)

Resolución Ejercicio 8 Guía 4 (Campo)

Requisitos de finalización
En este momento está usando el acceso para invitados (Acceder)
Resumen de retención de datos
Descargar la app para dispositivos móviles
Desarrollado por Moodle